ZA石油化工流程泵
ZA、ZAO石油化工流程泵,是根據AP1610和VDMA24297(輕/中型)規范設計的。
概述
ZA石油化工流程化工泵概述ZA行石油化工流程泵是臥式單級單吸懸臂式結構,是引進瑞士蘇爾壽公司技術生產的產品、適用于輸送清潔的或含顆粒的、低溫的或高溫的液體;適用于輸送中性的或有腐蝕性的液體。其中包括各種溫度和濃度的氫氧化鈉和碳酸鈉等緘性溶液、各種鹽溶液、各種酸溶液和鹽溶液、各種液態石油化工產品、有機化合物以及其他有腐蝕性的原料和產品. ZA石油化工流程化工泵產品特點 ZA系列石油化工流程泵為單級單吸懸臂式后開門的結構,所以在檢修泵時不需拆卸吸入和排出管路,拆開泵蓋后即可將懸架連同轉子部件一起從泵體中抽出,所以檢修工作十分方便。葉輪的后蓋板上有密封環,基本上能平衡軸向力,殘余的不平衡力由推力軸承承受。軸承為油潤滑的球軸承,油環提油而且能自動控制油位,當工作溫度低于250℃時,懸架無需冷卻,工作溫度高于250℃~450℃時,懸架用風冷或水冷。根據不同的情況,部分泵為雙蝸殼結構,其余為單蝸殼。軸封可采用填料密封,也可采用單端面或雙端面機械密封,并配有冷卻、沖洗或接密封液的系統。由電動機直接驅動,用聯軸器與電動機相連ZA石油化工流程化工泵的用途ZA行石油化工流程泵主要用于煉油廠、石油化學工業、煤加工工業和紙溫式程;化學式業、造紙、紙漿業、制糖業和普通流程工業;供水廠、海水淡化廠;供暖和空氣調節系統;發電廠;環境保護工程;船舶及海上工業等。
應用范圍
ZA、ZAO石油化工流程泵,是根據AP1610和VDMA24297(輕/中型)規范設計的。
結構簡圖

型號意義
例 ZA40-160 ZAO40-160
ZA——石油化工流程泵(閉式葉輪) ZAO——石油化工流程泵(開式葉輪)
40——泵出口直徑(mm) 160——泵葉輪名義直徑(mm)
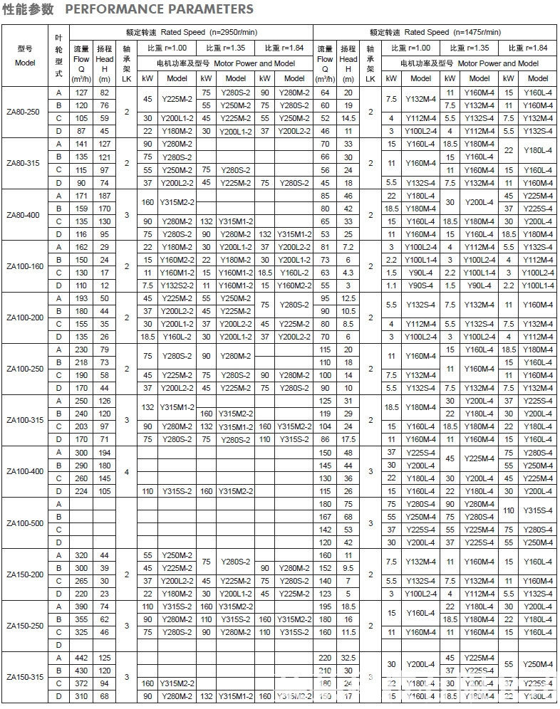
性能參數表


適用范圍
煉油廠、石油化工學工業、煤加工工業和低溫工程;化學工業、造紙紙漿業、制糖業和普通流程工業;供水廠、海水淡化廠;供暖和空氣調節系統;發電廠;環境保護工程;船舶及海上工業等。
故障原因與解決方案
ZA石油化工流程泵使用注意事項
一、起動前準備
1、起動前要把泵和現場清理干凈。
2、檢查軸承架內潤滑油量是否適量,油面在油標中心線以上2mm左右位置。
3、未接聯軸器前檢查原動機的轉向,與泵的轉向箭頭一致后,接好聯軸器。
4、在裝好機械密封或填料和聯軸器后用手轉動泵軸,應無碰擦現象,并將聯軸器的防護罩安裝好。
5、化工流程泵在吸上情況下使用,起動前應灌泵或抽真空;泵在倒灌情況下使用,起動前應用所輸送液體將泵灌滿,完全驅除泵中的空氣后,將吐出管路的閘閥關閉。當泵內無液體時,嚴防空轉、干磨。
6、起動前檢查基礎螺栓有無松動。壓蓋是否歪斜,以及潤滑油和冷卻水的供應情況。
7、輸送易揮發或汽化的液體時,泵體上應裝設放空閥,便于排氣。
二、起動
1、關閉進出口壓力(或真空)表和出水閥門(如有旁通管,此時也應關閉)。起動電機(好先點動、確認泵轉向正確后,才開始正式運行)。然后打開進出口壓力(或真空)表,當泵達到正常轉速,且儀表指出相應壓力時,再慢慢打開出水閥門,調節前需要的工況。在吐出管路關閉的情況下,泵連續工作的時間,不能超過3分鐘。
2、起動過程中要時時注意原動機的功率讀數及泵的振動情況,振動數不應超過0.06mm,測定部位是軸承座。
3、密封情況,機械密封應無泄漏、發熱現象,填料密封應呈連續滴流狀態。
4、如輸送液體溫度較高,啟動前要均勻預熱,其預熱速度為<50℃/h為宜。
三、運行
1、經常檢查泵和電機的發熱情況(軸承的溫升不應超過35℃,極限溫度不應大于75℃)及油位情況(一般每運行500小時后,要全部更換潤滑油一次)。
2、不能用吸入閥來調節流量,避免產生汽蝕。
3、泵不宜在低于30%設計流量下連續運轉,如果必須在該條件下連續運轉,則應在出口處安裝旁通管,排放多余的流量。
4、注意泵運轉有無雜音,如發現異常狀態時,應及時消除或停車檢查。
四、停止
1、緩慢關閉吐出口管路閘閥(如果泵在倒灌情況下使用,還要關閉吸入管路的閘閥)、并關閉各種儀表的開關。
2、切斷電源。
3、如果密封采用外部引液時,還要關閉外引液閥門。
4、如果環境溫度低于液體凝固點時,要放凈泵內的液體,以防凍裂。
5、如果長時間停車不用,除將泵內的腐蝕性液體放凈外,各零部件應拆卸清洗干凈,油漆是密封腔。好是將泵拆下清洗后重新裝好,除涂油防銹處理和封閉泵進、出口外,還應定期檢查。


